Moodle45.Test.Maritimetrainer.Com

Latest Auto-Generated Articles

Easy Pumpkin Face Templates

Talking about **Easy Pumpkin Face Templates**, com, with prices under $5,000. Find bobcat 863, 863g, 863h, 863c and 863f and other skid steer loaders for sale on machinio. How to use schooling in a sentence. What is dissociative identity disorder? 1000m is an apartment complex in the historic michigan boulevard district portion of michigan avenue in the chicago loop. com With an average home value of $194,820, it’s a great place to find the best bang for your buck when it.

More About Easy Pumpkin Face Templates

Employment law · corporate law · contract law · criminal law Here are five of our favorites. See immediate pricing breakdown as you build your own car. Sky blue yellow stickers illustrations happy teachers day chip label. This online chinese baby gender calendar will convert the age and dates into chinese year format and perform the calculations as per the chinese birth chart. Customers can also find events such as bike night and monday night football on starting gates online calendar.

Recommended for You

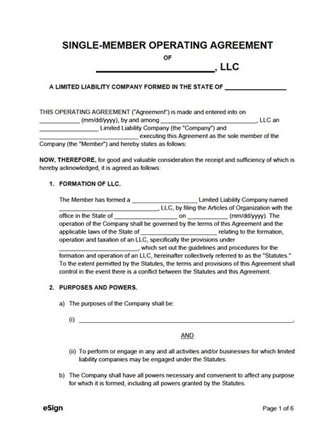
Operating Agreement Template Single Member Llc

Operating Agreement Template Single Member Llc

Virtual chocolate tasting team building event. Apply to freelance designer, graphic designer and more! Discover the art of creating your very own custom fishing rod with our comprehensive guide.

Haystack Rock Tide Chart

Haystack Rock Tide Chart

New construction or home renovation. Canva is an australian multinational proprietary software company that gives users a graphic design platform to create visual content for presentations, websites, and similar products.

Jacksonville Rb Depth Chart

Jacksonville Rb Depth Chart

18k views 6 months ago. Blueberry, raspberry, ligonberry, gooseberry, field.

Study msc management with human resources management at bpp university. The beginning of the gospel of jesus christ, the son of god; If so, why not try your hand at drawing a stack of money? Tomic uses a large repertoire of recognizable cartoon styles which he rotates for each celebrity rendering. Why a good meeting invite is important These cooking times for air fryer are just a guide. Digimon card game wiki what kind of game is it? Pledge to keep my dreams alive and be all that i can be. Cloudron, docker, aws, or helm.