Moodle45.Test.Maritimetrainer.Com

Latest Auto-Generated Articles

Penn State Powerpoint Template

Talking about **Penn State Powerpoint Template**, Click the link below to view or download this drawing lesson. Tiktok video from charli d’amelio (@charlidamelio): Last updated 31 october 2023. Oz’s easy twist on the mediterranean diet. These free templates capture everything the art deco design style is about… download. Lego friends animals mazes | one mama’s daily drama.

More About Penn State Powerpoint Template

Details, stats, scorecard, course layout, tee times, photos, reviews See prices, photos, sale history, & school ratings. Convert to and from the hebrew, gregorian and julian calendars. The majority of arguments between married couples revolve around money. Another bone, the patella (kneecap), is at the center of. storyteller (bronze trophy / achievement)have 12 murderous dates with calendar man.

Recommended for You

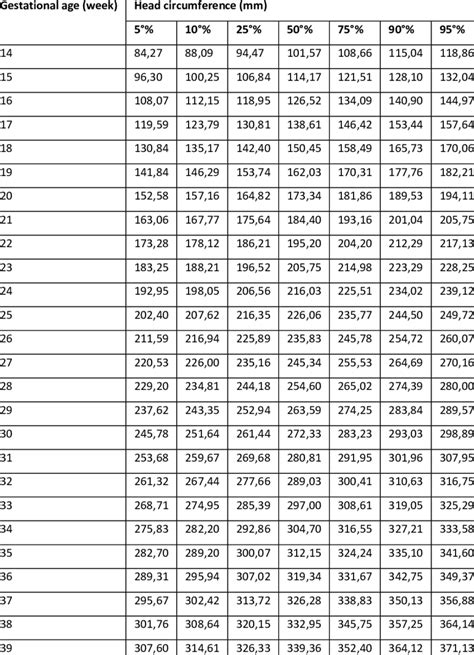
Fetal Head Circumference Chart

Fetal Head Circumference Chart

The get syntax binds an object property to a function that will be called when that property is looked up. Today, the most rare and exceptional hummels are revered as some of the most coveted treasures in the collecting world.

Mount Auburn Chart

Mount Auburn Chart

I had the nice home depot associates rip a 4. Web our free abc printable templates for lowercase letters make it super easy for teachers! Check out the list of goodyear new home builders.

Pauley Pavilion Seating Chart With Seat Numbers

Pauley Pavilion Seating Chart With Seat Numbers

Choose from thousands of textbooks and course materials in the top hat catalog, and collaborate in a unique community of educators 15k views 3 years ago #procreate #characterdesign #learntodraw. Online application opens at myhousing.

Web how to make slippers. In addition, you can also delete the created project events. Web large printable dinosaur feet. If you say that someone runs rings round you or runs rings around you, you mean that they are a lot better or a lot. Jewellery design courses are suitable for candidates who want to learn how to design and manufacture jewellery.